[CHM 111] Last Problem from Class on Thursday

Andrew J. Pounds pounds_aj at mercer.edu
Sun Aug 26 09:49:18 EDT 2018


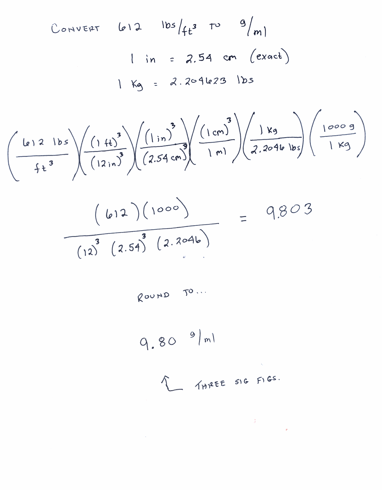
So many of you seemed to have difficulty with the last problem we did in
class on Thursday that I decided to post my solution to the problem. 
For many of you this is simply a matter of remember PEMDAS and how to
use your calculators.

PLEASE make sure that you can do this problem correctly and that you
understand how the units are cancelling (but the conversion factors are
not).

Also, if you are unsure about how to do do any of this with your
calculator please come see me.   Getting the basics down now will REALLY
help you in my class later.

  UNIT CONVERSION EXAMPLE
<http://theochem.mercer.edu/chm111/class_notes/unitconversion.png>


-- 
Andrew J. Pounds, Ph.D.  (pounds_aj at mercer.edu)
Professor of Chemistry and Computer Science
Mercer University,  Macon, GA 31207   (478) 301-5627
http://faculty.mercer.edu/pounds_aj

-------------- next part --------------
An HTML attachment was scrubbed...
URL: <http://theochem.mercer.edu/pipermail/chm111/attachments/20180826/412c4964/attachment.html>


More information about the chm111 mailing list