[CHM 330] Derived Rate Law

Andrew J. Pounds pounds_aj at mercer.edu
Thu Nov 6 22:49:24 EST 2025


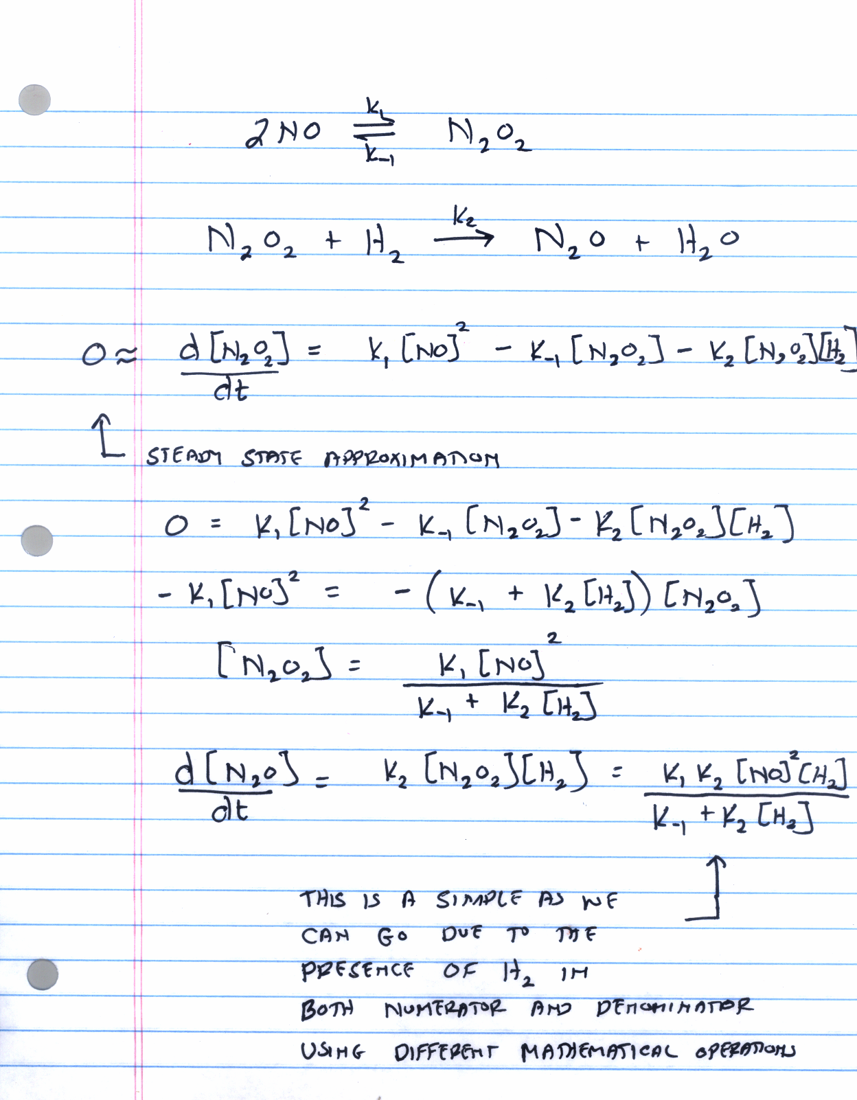
For problem 3 on the worksheet, please take a look at this link. 
<https://theochem.mercer.edu/transfer/ratelaw.png>

-- 
*/Andrew J. Pounds, Ph.D./*
/Professor of Chemistry and Computer Science/
/Director of the Computational Science Program/
/Mercer University, Macon, GA 31207 (478) 301-5627/
-------------- next part --------------
An HTML attachment was scrubbed...
URL: <http://theochem.mercer.edu/pipermail/chm330/attachments/20251106/23454689/attachment.htm>


More information about the chm330 mailing list